陈思成视频,揭秘影视创作背后的故事与感悟 最近有没有被陈思成的视频刷屏呢?没错,就是那个才华横溢的导演兼演员!今天,我们就来全方位解析一下陈思成的视频,看看他究竟是如何用镜头讲述故事的。一、陈思成视频的视觉风格陈思成的视频,就像他的电影一样,总是充满了独特的... 网红明星 admin 26-01-26 27 0
同性恋女生视频,真实情感与自我认同的展现 你知道吗?在互联网的海洋里,总有一些奇妙的小角落,藏着让人意想不到的秘密。今天,我就要带你探索一个特别的话题——同性恋女生的视频。别惊讶,这可不是什么禁忌话题,而是现代社会多元文化的一部分。让我们一起揭开这神秘的面纱... 网红明星 admin 26-01-26 26 0
云南的一天视频,探寻彩云之南的多彩画卷 你有没有想过,如果有一天能穿越到云南,感受一下那里的风土人情,那会是怎样的体验呢?最近,我在网上看到了一个特别有趣的视频,它用镜头记录了云南的一天,让我仿佛真的置身于那片神奇的土地上。接下来,就让我们一起跟着镜头,来... 网红明星 admin 26-01-23 24 0
美丝馆视频,探寻丝路文化瑰宝的视觉盛宴 你有没有看过那个美丝馆的视频?最近在朋友圈里可是火得一塌糊涂呢!我忍不住好奇心,也去搜罗了一番,发现这视频真的挺有意思的。下面,就让我带你一起多角度地探索这个神秘的美丝馆视频吧!一、视频内容揭秘美丝馆视频的主要内容是... 热门大瓜 admin 26-01-23 31 0
颐和园在线视频,穿越历史长河的皇家园林之旅 你有没有想过,即使身处喧嚣的都市,也能瞬间穿越到古色古香的皇家园林?没错,说的就是那座美轮美奂的颐和园!现在,不用亲自跑一趟,就能在家通过在线视频,感受颐和园的韵味。快来跟我一起,用眼睛和心灵,来一场说走就走的“云游... 吃瓜热榜 admin 26-01-23 31 0
落叶球教学视频,轻松掌握运动新技能 落叶球,这个听起来就充满趣味和挑战的球类游戏,最近在网络上掀起了一股热潮。你是否也跃跃欲试,想要学会这个既刺激又好玩的运动呢?别急,今天我就要带你走进落叶球的奇妙世界,通过一系列教学视频,让你轻松上手,成为落叶球的高... 娱乐新闻 admin 26-01-23 26 0
视频搞笑短片视频大全,笑翻天!搞笑短片视频大全精选集 亲爱的读者们,你是否在某个无聊的午后,渴望来点欢乐的笑声来点亮你的心情?那就跟着我一起探索一下视频搞笑短片的世界吧!在这个充满欢乐的海洋里,有无数的小短片等着你,它们就像是一颗颗闪亮的珍珠,点缀着我们的日常生活。搞笑... 娱乐头条 admin 26-01-23 30 0
性感大妈热舞视频,性感魅力引爆网络 你有没有看过那些性感大妈热舞的视频?简直让人眼前一亮,仿佛整个世界都充满了活力!这些大妈们,年纪虽大,但舞姿却如此妖娆,让人忍不住想跟着一起摇摆。今天,就让我带你一起走进这个充满魅力的世界,感受一下大妈们的热舞风采吧... 吃瓜热榜 admin 26-01-23 28 0
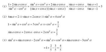
高中数学三角函数视频,高中数学视频课程精华概述 亲爱的数学迷们,你是否曾在深夜里对着三角函数的公式发愁?是不是觉得那些角度、正弦、余弦、正切让人眼花缭乱?别担心,今天我要给你带来一份特别的礼物——高中数学三角函数视频,让你的数学学习之路不再孤单!一、三角函数的奥秘... 娱乐头条 admin 26-01-23 37 0
德国工具箱视频,揭秘高效工作与生活必备神器 你有没有看过那些德国工具箱的视频?简直太神奇了!最近,我在网上刷到了一系列德国工具箱的视频,简直让我大开眼界。这些视频不仅展示了德国工具箱的多样性和实用性,还让我对德国人的严谨和匠心独运有了更深的认识。今天,就让我带... 吃瓜热榜 admin 26-01-23 30 0